武汉天德生物科技有限公司欢迎您!

366577646@qq.com

 | 027-87561633

logo

027-87561633

366577646@qq.com

产品中心

PRODUCT CENTER

OVA(257-264)

价格询价
品牌Bioyears   
产地中国
货号BYX-P-007
CAS号153316-01-9
分子式C₄₇H₇₆N₁₀O₁₄
分子量1005.16
技术资料查看技术资料
  • 数据表
  • 参考文献
扫一扫购买
  • 概述


    生物活性

    OVA-E1 peptide, is an antagonist variant of SIINFEKL [OVA (257-264). OVA-E1 peptide, activates the p38 and JNK cascades similarly in mutant and wild-type thymocytes[1].

    分子量

    1005.16

    Formula

    C₄₇H₇₆N₁₀O₁₄

    CAS 号

    153316-01-9

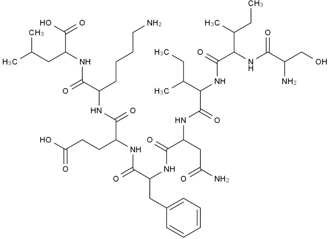
    Sequence

    Glu-Ile-Ile-Asn-Phe-Glu-Lys-Leu

    Sequence Shortening

    EIINFEKL

    运输条件

    Room temperature in continental CN; may vary elsewhere.

    储存方式

    Please store the product under the recommended conditions in the Certificate of Analysis.

    Solvent & Solubility
    In Vitro: 

    H2O

    Peptide Solubility and Storage Guidelines:

    1.  Calculate the length of the peptide.

    2.  Calculate the overall charge of the entire peptide according to the following table:

     ContentsAssign valueAcidic amino acidAsp (D), Glu (E), and the C-terminal -COOH.-1Basic amino acidArg (R), Lys (K), His (H), and the N-terminal -NH2+1Neutral amino acidGly (G), Ala (A), Leu (L), Ile (I), Val (V), Cys (C), Met (M), Thr (T), Ser (S), Phe (F), Tyr (Y), Trp (W), Pro (P), Asn (N), Gln (Q)0

    3.  Recommended solution:

    Overall charge of peptideDetailsNegative (<0)1.  Try to dissolve the peptide in water first.2.  If water fails, add NH4OH (<50 μL).3.  If the peptide still does not dissolve, add DMSO (50-100 μL) to solubilize the peptide.Positive (>0)1.  Try to dissolve the peptide in water first.2.  If water fails, try dissolving the peptide in a 10%-30% acetic acid solution.3.  If the peptide still does not dissolve, try dissolving the peptide in a small amount of DMSO.Zero (=0)1.  Try to dissolve the peptide in organic solvent (acetonitrile, methanol, etc.) first.2.  For very hydrophobic peptides, try dissolving the peptide in a small amount of DMSO, and then dilute the solution with water to the desired concentration.


      暂无数据

Copyright©2019武汉天德生物科技有限公司版权所有